隔爆電力液壓制動器

把“誠信、負責、創 新、團隊”作為不斷的追求和目標,愿與廣大朋友攜手共創美好的明天

BYWZ5防爆電力液壓制動器

BYWZ5防爆電力液壓制動器

產品概要

如有需要請聯系手機:15225835568微信同號電話:0391-7588600傳真:0391-7588860  電力液壓制動器是使機械中的運動件停止或減速的機械零件。俗稱剎車、閘。制動器主要由制架、制動件和操縱裝置等組成。有些制動器還裝有制動件間隙的自動調整裝置。為了減小制動力矩和結構寸, 制動器通常裝在設備的高速軸上,但對性要求較高的大型設備(如礦井提升機、電梯等)則應裝在靠近設備工作部分的低

發布時間:2022-01-10

  • 質量保證
  • 綠色環保
  • 安心穩定
  • 完善售后
  • 立即訂購

    咨詢熱線:

    15225835568

    產品詳情

    如有需要請聯系

    手機:15225835568微信同號

    電話:0391-7588600

    傳真:0391-7588860

      

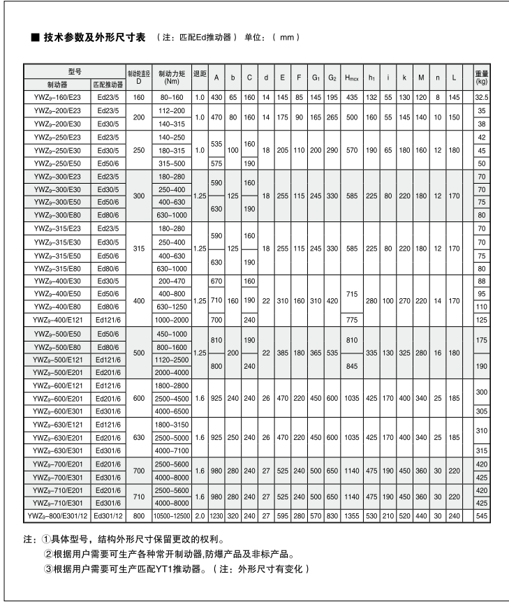
    電力液壓制動器是使機械中的運動件停止或減速的機械零件。俗稱剎車、閘。制動器主要由制架、制動件和操縱裝置等組成。有些制動器還裝有制動件間隙的自動調整裝置。為了減小制動力矩和結構寸, 制動器通常裝在設備的高速軸上,但對性要求較高的大型設備(如礦井提升機、電梯等)則應裝在靠近設備工作部分的低速軸上。有些制動器已標準化和系列化,工廠制造以供選用。

      電力液壓制動器是使機械中的運動件停止或減速的機械零件。俗稱剎車、閘。制動器主要由制架、制動件和操縱裝置等組成。有些制動器還裝有制動件間隙的自動調整裝置。為了減小制動力矩和結構寸, 制動器通常裝在設備的高速軸上,但對性要求較高的大型設備(如礦井提升機、電梯等)則應裝在靠近設備工作部分的低速軸上。有些制動器已標準化和系列化,工廠制造以供選用。


    在線訂購

    注:*為必填項
    • *
    • *
    • *
    • *
      *

    溫馨提醒:

    為了能及時和您取得聯系,請您務必填寫您的聯系方式和需求信息;您也可以通過商務聯系我們的24小時在線客服,焦作市亞東制動器有限公司-致力成為您滿意的合作伙伴!

    聯系我們

    地址:河南焦作武陟
    電話:0391-7588600
    電話:15225835568
    郵箱:674258863@qq.com

    九九热在线观看